Inverse Gamma Distribution Calculator

The Inverse Gamma distribution is a continuous probability distribution that is the reciprocal of the Gamma distribution. It is often used in Bayesian statistics, particularly as a conjugate prior for the precision parameter of a normal distribution.

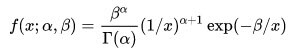
Mathematically, the probability density function (PDF) of the Inverse Gamma distribution is defined as:

Gamma Distribution

The Inverse Gamma distribution is characterized by its positive skewness and its support on the positive real numbers. It is often used to model variables that are bounded below by zero and have a right-skewed distribution of values.

Applications of the Inverse Gamma distribution include Bayesian estimation of scale parameters in regression models, Bayesian inference in hierarchical models, and modeling the uncertainty in variance components in statistical models. It is also commonly used in physics, engineering, and finance for modeling variables with positive support and heavy-tailed distributions.


We used Accord.Statistics for this calculator and this class


How To Cite
Online Tool:
Gamma Distribution:

Calculate parameters on: Gamma Distribution Fitting

Probability:

Help Video:

Video Thumbnail