Data-Tool Excel Add-ins

RMSE, MAE, MBE, NSE,etc.
CDF/PDF, Matrix, Correlation Graph
Reshape Data, Daily to Monthly etc.
Trend Test and MLR.

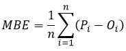
MBE (Mean Bias Error)

The Mean Bias Error (MBE) serves as a metric to gauge the average bias present in a model's predictions. While it's not typically employed as the sole measure of model error, as it may not adequately capture high individual errors in prediction, MBE plays a crucial role in identifying and quantifying the average bias within the model's outputs. Positive bias in a variable (e.g., wind speed) indicates an overestimation of data from datasets, while negative bias signifies underestimation. Similarly, for directional variables like wind direction, a positive bias corresponds to a clockwise deviation, and a negative bias indicates counterclockwise deviation. Evaluating MBE alongside other metrics like correlation coefficients helps provide a more comprehensive understanding of model performance. Lower error values and higher correlation coefficients, particularly for directional variables, are indicative of superior model accuracy.

Mean Bias Error


Where Oi is the observation value and Pi is the forecast value.

How To Cite

Related Question: What does bias mean?

Please provide the data in a two-column format (observed vs. simulated). You can copy from Excel, text, or any other format, separated by space.

Mean Bias Error: %
Help Video:

Video Thumbnail